體育場看臺設計
一、體育場簡介
體育場是指具有體育比賽和其他表演用的寬敞的室外場地同時為大量觀眾提供坐席的建筑物。體育場看臺座椅一般是室外露天場地,但也有看臺席位被部分或者全部覆蓋的情況。
1)體育館建筑等級劃分:
等級 | 主要使用要求 |
特級 | 舉辦亞運會、奧運會及世界級比賽主場 |
甲級 | 舉辦全國性和單項國際比賽 |
乙級 | 舉辦地區性和全國單項比賽 |
丙級 | 舉辦地方性、群眾性運動會 |
2)體育館看臺規模(觀眾數量)設計
城市規模 | 100萬人口以上城市 | 50-100萬人口城市 | 20-50萬人口城市 | 10-20萬人口城市 |
看臺座位數設計 | 30000-50000座 | 20000-30000座 | 15000-20000座 | 10000-15000座 |
注:當在特定條件下,達不到規定指標下限時,應利用規劃和建筑手段來滿足場館再使用安全、疏散、停車等方面的要求
二、體育場看臺平面布置
1)看臺平面布置沿跑道邊處采用直線或曲線進行,一邊布置看臺,常布置于西向;如為兩邊布置時布置在東西、東南、東北等;如為三邊布置時一般布置在東西南或東南北;如為四邊式(周邊式)。如下圖

2)看臺觀眾席位按方位布置多少,以東西向看臺為好;其中又以西看臺最佳,往往把主席臺設在西看臺上。
3)觀眾座席有運動員、來賓席、貴賓席等。正規比賽場不設站席均為座席,普通股座席寬420-500mm,層寬650-700mm;主席臺座席寬600mm、深850-1000mm。看臺座席區一般按單元式布置,每單元內設一個出入口,約容納1500-2500人,每層25-35人。每單元之間用≥1M寬的通道隔開,出入凈寬5m左右。
4)主席臺一般設在西看臺上,位置宜與普通觀眾席分開,最好在普通座席上部,也可放在普通座席中間,在布置時應注意對左右兩側座席的視線遮擋。主席臺距場地不要過遠或過近,距場地視距宜在8-14以內,并有適當的高度,一般在10排以后,要求座席視線有較好的深度感。
5)運動員座席一般設在主席臺兩邊的座席內,以便運動員出入內場和接近跑道的起點,平時為普通觀眾使用時宜將梯步封閉。
6)看臺觀眾席分配:一般以東西看臺為主,又以西看臺為最佳。東西看臺宜各占總觀眾數的1/3,而南北看臺共占總席數1/3.
三、看臺視線設計
1)視點選擇:
視點選擇應以場地規模 、設計標準 、運動項目為依據。常用視點位置有四種 ,每個視點的軌 跡線均與第一排觀眾席線平行 ,其線形一致 (如視點軌跡線是曲線 ,在第一排觀眾席線就是與之 平行的曲線 ,如是直線就是直線)

(1) 第一種
視點選在西直道外邊線與終點線相交點 ,如圖上圖為六種視點及軌跡 ,不同視點產生不同看 臺高度。這種視點能看清全場大部分跑道 (當然足球、回賽亦能看清) ,適用于大型在跑道外布置 田賽場地的情況 ,但看臺坡度較大 ;如加大座席與視點的距離又會增加觀看足球與回賽的視距。
(2)第二種
視點選在直跑道外邊與體 育場短軸的交點上 ,這個視點也能看到大部分跑道 ,但對設在跑道 外側的田賽場有遮擋 。
(3) 第三 、四種
視點選在直跑道內沿道牙處與場地短軸相交點的地面或上空 0. 5m 處。這種視點看臺觀眾觀 看田徑賽遮擋較大,看足球也有遮擋,一般適用于練習場地 。如為無跑道的專用足球場地 ,可以角球點或球門處±0 為設計視點 。
2)視覺質量分區:
1) 視距:視距是視線清晰度的主要影響因素 ,視距愈近清晰度愈好 。
2) 視線方位:在水平方位,觀眾席愈接近場地短軸視覺質量愈好;垂直方位,觀眾視線與場 地成適度的夾角 ,一般在 15°- 45°之間深度感較好 。觀眾視平線與視點之間高度差愈小觀眾高度感愈好。
通常是用視線清晰度、深度感、高度感幾個綜合因素來衡量視覺質量的好壞,如圖
體育場觀眾席視覺質量分區圖

注:圖中,等高線是以第一排觀眾眼睛位置高度y1=l.lm,視線升高差c值120mm,
第一排觀眾眼睛位置與視點間的水平距離 x1 = l8m的假定條件計算而得。
清晰度質量分析指數
距離(m) | ≤100 | 100-125 | 125-150 | 150-175 | 175-210 |
質量 | 極清晰 | 很清晰 | 清晰 | 可辨 | 看不清 |
質量等級 | A | B | C | D | |
分區指數 | 8 | 6 | 4 | 2 |
方位質量分區指數
方位等級 | A | B | C | D |
質量 | 好 | 較好 | 尚可 | 差 |
分區指數 | 4 | 3 | 2 | 1 |
視覺質量分區指數
級別 | Ⅰ | Ⅱ | Ⅲ | Ⅳ |
指數和 | 15-16 | 13-14 | 11-12 | 9-10 |
質量 | 很好 | 好 | 較好 | 差 |
以上質量分區可以用來限制觀眾座席的范圍,用以審定看臺容納觀眾座席總數的比例。一般東西看臺宜各占座席總數的3/10~4/10 ;而南北看臺宜各占2/10~1/10。
(3) 看臺剖面升高值計算
直線型剖面 :每階升高值相同,便于施工,適用于小型體育場 。
折線型剖面 :把看臺臺階分成若干組 般 3~5 個臺階為一組 ,每組內臺階升高值相等 ,而臺階組與組之間 ,每臺階升高值不相等 ,而呈折線 u 折線型剖面便于施工,看臺面呈近似曲面 。適用于中型體育場 。
曲線型剖面 :其特點是每個臺階升高值不相等,看臺面呈曲面 。這種形式適用于大型體育場, 但臺階間差值如果≤5mm 時,施工不便于控制,精度難于達到,最好差值能在10mm 左右。

1) 視線計算基本數據
c一視線升高差值 ,如上圖所示 。
c = 120mm (平視);C= 90mm (仰視)
c=60mm (錯位排列) 體育運動多是俯視
(c 值選用 120 時最好,但看臺升高太多不經濟 ,選 60mm 時需將座席錯位排列) ;
d—看臺臺階深度
(用靠背椅時為 850~1000mm ;用無靠背椅的條登時 700~850mm ) ;
e—視點高度 (坐時為 1200mm ,站時為 1600mm) ;
b一第一排觀眾腳下與場地地面高差 。
(對球類或田徑場地 b 可為 “0 ” 或正值,對游泳場地宜比球類更大些。對體操場地宜為 “0 ” 或 為負值 ,即平視為宜) ;
x1一F 點 (選擇的視點〉 距第一排觀眾眼睛間的水平距離 ;
y1一第一排觀眾眼睛與過 F 水平線間的垂直距離等于 y =b十 1. 2m ;
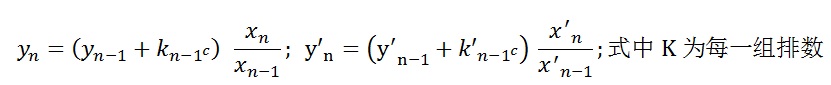
yn 一欲求那一排觀眾眼睛與過 F 點水平線間的垂直距離上述值之間關系如圖所示。
2 ) 視線計算公式
a. 逐排升高值計算公式
Y1 是第一排觀眾眼睛距 F 點水平線的高度


從使用方便和安全考慮 ,每臺階高度與臺階深之比不宜大于 1 : 1. 5,其實際尺寸高不宜大于60cm,最小高度不宜小于25cm,上下臺階高度差值宜以lcm為單位,以便施工。看臺視線設 計考慮到計算假設條件失真,如人體標準身高1.7m,座高 1.3m等以及運動項目和觀看地面面積大小不同等因素,在實際使用時觀眾能自行調整角度和方位。因而只要掌握好設計基本原則就能收到較好的效果 。因此計算方法不宜過于精確 ,而給建筑施工增加不必要的難度。
3)視距:由觀眾眼睛到比賽場地中被觀察物體的距離。視距過遠視覺的清晰度差,視距近清晰度好,因此,球類體育館最大視距一般不宜大于45m,最小視距不低于3m。
各賽類項目視距如下圖:

四、體育場看臺座椅的設計與選擇
(1)看臺功能分類:
等級 | 主席臺 | 包廂 | 記者席 | 評論員席 | 運動員席 | 一般觀眾席 | 殘疾觀眾席 |
特級 | 有 | 有 | 有 | 有 | 有 | 有 | 有 |
甲級 | 有 | 有 | 有 | 有 | 有 | 有 | 有 |
乙級 | 有 | 無 | 兼用 | 有 | 有 | ||
丙級 | 有 | 無 | 兼用 | 有 | |||
注:1、殘疾觀眾(輪椅)席位數可按觀眾席位總數的2‰計算。位置應方便殘疾觀眾入席及疏散;2、貴賓包廂面積每間不宜小于2m*3m.
(2)觀眾席位常規選擇:
主席臺 | 記者席 | 評論員席 | 運動員席 | 一般觀眾 | |
特級 | 移動扶手軟椅 | 有背硬椅 | 有背硬椅 | ||
甲級 | 移動軟椅 | 有背硬椅或無背方凳 | |||
乙級 | 有背軟椅 | 無背方凳或無背條凳 | |||
丙級 | 有背硬椅 | ||||
(3)觀眾席最小尺寸
規格 席位種類 | 無背條凳 | 無背方凳 | 有背硬椅 | 有背軟椅 | 活動軟椅 | 扶手軟椅 |
座寬(中心距)mm | 420 | 450 | 480 | 500 | 550 | 600 |
層寬mm | 720 | 750 | 800 | 850 | 1000 | 1200 |
注:1 記者席占2座2排,前排放工作臺;
2 評論員席占3座2排,前排工作臺;
3 看臺排距指凈距,如首末排遇欄桿或靠背后傾又影響應適當加大;
4 一般觀眾座椅高度不宜小于0.35m,且不應超過0.55m;
5 座椅應安裝牢固,并便于看臺清掃,室外座椅還應防止座椅面積水。
(4)座椅選擇實例:
1)普通觀眾席固定固定座椅。
A.普通觀眾席座椅占據大部分席位,視造價不同,可選用平裝、側裝、立裝。
下面2圖分別為側裝座椅和立裝座椅實例


B.普通觀眾席固定座椅的材質選擇:一般最常用的是中空吹塑椅,也有注塑椅,玻璃鋼基本已經被淘汰。
C.一體椅和翻板椅。固定座椅視造價情況,可選用一體椅或翻板椅。翻板椅一般價格是一體椅的價格3-4倍。
2)主席臺桌椅
一般采用軟包椅。下圖為體育館主席臺實例。

6、看臺設計安全消防要求
體育場觀眾數量大,疏散時間集中,觀眾的安全疏散,是設計的另一個重要問題。安全疏散口分布要均勻、疏散通道應通暢,每個出人口服務面不宜過大 ,一般一個出人口 以能通行服務1000-2000人為宜。如果看臺分散獨立布置在兩側或四周相互之間自成系統,每個分看臺疏散出人口;或通道不應少于兩個,兩個出人口之間應保持一定距離,一般在20m左右。
體育場控制疏散時間
容納人數 | ≤1200 | 1200-2000 | 2000-5000 | 5000-10000 | 10000-50000 | 50000-100000 |
時間 | 4 | 5 | 6 | 6 | - | - |
疏散口布置方式


.png)